Spice jet is a budget airline ( low cost airline ) company operating in India and seems to be at the number 3 position.
It's share was trading at Rs.37.80/- on friday (24/5/2013)
Spicejet company has posted a loss of Rs. 185.72/- crore (1.86 billion ?? ) for the quarter ending 31st March 2013.
for the last fiscal year the total loss was Rs. 191 crore, while it was Rs.605.7 crores for the previous year FY12.
There has been increase in airport charges ,high fuel costs , weakness of the indian rupee which were adverse to the domestic aviation industry.
But there seems to have been an increase in the passenger traffic and increase in fares as well. Numerous international routes also seem to have been added
-----------------------------------------------------------
please leave your comments below
------------------------------------------------------------
index of math problems
disclaimer:
There is no guarantee about the data/information on this site. You use the data/information at your own risk. You use the advertisements displayed on this page at your own risk.We are not responsible for the content of external internet sites. Some of the links may not work
auto ad
Saturday, May 25, 2013
Monday, March 11, 2013
integral using manipulation of numerator in terms of denominator
integral of 1/[sin²x cos²x]
since sin²x + cos²x =1
rewrite the numerator as sin²x + cos²x
divide each term with the denominator
simplify and then integrate
study integration formulae
free guide on integration or integral calculus for cbse isc kerala higher secondary class 12 ncert scert students
-----------------------------------------------------------
please leave your comments below
------------------------------------------------------------
index of math problems
disclaimer:
There is no guarantee about the data/information on this site. You use the data/information at your own risk. You use the advertisements displayed on this page at your own risk.We are not responsible for the content of external internet sites. Some of the links may not work
since sin²x + cos²x =1
rewrite the numerator as sin²x + cos²x
divide each term with the denominator
simplify and then integrate
study integration formulae
free guide on integration or integral calculus for cbse isc kerala higher secondary class 12 ncert scert students
-----------------------------------------------------------
please leave your comments below
------------------------------------------------------------
index of math problems
disclaimer:
There is no guarantee about the data/information on this site. You use the data/information at your own risk. You use the advertisements displayed on this page at your own risk.We are not responsible for the content of external internet sites. Some of the links may not work
Labels:
cbse,
class 12,
free guide,
integral calculus,
integration,
ISC,
kerala higher secondary,
ncert,
SCERT,
students
integral using substitution
integral of [√(tanx)] / [sinx cosx]
first introduce [√(tanx)] in the numerator and denominator
then simplify and change the tanx in the numerator in terms of sinx and cosx
simplify in terms of secx and tanx
then use substitution method
study integration formulae
free guide on integration or integral calculus for cbse isc kerala higher secondary class 12 ncert scert students
-----------------------------------------------------------
please leave your comments below
------------------------------------------------------------
index of math problems
disclaimer:
There is no guarantee about the data/information on this site. You use the data/information at your own risk. You use the advertisements displayed on this page at your own risk.We are not responsible for the content of external internet sites. Some of the links may not work
first introduce [√(tanx)] in the numerator and denominator
then simplify and change the tanx in the numerator in terms of sinx and cosx
simplify in terms of secx and tanx
then use substitution method
study integration formulae
free guide on integration or integral calculus for cbse isc kerala higher secondary class 12 ncert scert students
-----------------------------------------------------------
please leave your comments below
------------------------------------------------------------
index of math problems
disclaimer:
There is no guarantee about the data/information on this site. You use the data/information at your own risk. You use the advertisements displayed on this page at your own risk.We are not responsible for the content of external internet sites. Some of the links may not work
Labels:
cbse,
class 12,
free guide,
integral calculus,
integration,
ISC,
kerala higher secondary,
ncert,
SCERT,
students
Saturday, March 9, 2013
integral using trigonometric manipulation
integral of 1 / [cos(x-a)cos(x-b)]
we will try to write the numerator in terms of the denominator
so introduce sin(a-b) in the numerator and denominator
note that (x-b)-(x-a) =a-b
so write sin(a-b) as sin[ (x-b)-(x-a) ] and expand using sin[A-B] formula
divide the numerator term by term with the denominator
reduce to terms involving sec and then integrate
study integration formulae a
free guide on integration or integral calculus for cbse isc kerala higher secondary class 12 ncert scert students
-----------------------------------------------------------
please leave your comments below
------------------------------------------------------------
index of math problems
disclaimer:
There is no guarantee about the data/information on this site. You use the data/information at your own risk. You use the advertisements displayed on this page at your own risk.We are not responsible for the content of external internet sites. Some of the links may not work
we will try to write the numerator in terms of the denominator
so introduce sin(a-b) in the numerator and denominator
note that (x-b)-(x-a) =a-b
so write sin(a-b) as sin[ (x-b)-(x-a) ] and expand using sin[A-B] formula
divide the numerator term by term with the denominator
reduce to terms involving sec and then integrate
study integration formulae a
free guide on integration or integral calculus for cbse isc kerala higher secondary class 12 ncert scert students
-----------------------------------------------------------
please leave your comments below
------------------------------------------------------------
index of math problems
disclaimer:
There is no guarantee about the data/information on this site. You use the data/information at your own risk. You use the advertisements displayed on this page at your own risk.We are not responsible for the content of external internet sites. Some of the links may not work
Labels:
cbse,
class 12,
free guide,
integral calculus,
integration,
ISC,
kerala higher secondary,
ncert,
SCERT,
students
integral 5
integral of 1 / [x - √x ]
we have to use substitution method
take √x common in the denominator
put √x =t
study differentiation formulae ands integration formulae
then take the differential
(1/[2√x] ) dx = dt
rearrange the integral and rewrite it in terms of t in a single step
and then integrate
note that log x stands for natural logarithm ln x in this question
free guide on integration or integral calculus for cbse isc kerala higher secondary class 12 ncert scert students
-----------------------------------------------------------
please leave your comments below
------------------------------------------------------------
index of math problems
disclaimer:
There is no guarantee about the data/information on this site. You use the data/information at your own risk. You use the advertisements displayed on this page at your own risk.We are not responsible for the content of external internet sites. Some of the links may not work
we have to use substitution method
take √x common in the denominator
put √x =t
study differentiation formulae ands integration formulae
then take the differential
(1/[2√x] ) dx = dt
rearrange the integral and rewrite it in terms of t in a single step
and then integrate
note that log x stands for natural logarithm ln x in this question
free guide on integration or integral calculus for cbse isc kerala higher secondary class 12 ncert scert students
-----------------------------------------------------------
please leave your comments below
------------------------------------------------------------
index of math problems
disclaimer:
There is no guarantee about the data/information on this site. You use the data/information at your own risk. You use the advertisements displayed on this page at your own risk.We are not responsible for the content of external internet sites. Some of the links may not work
Labels:
cbse,
class 12,
free guide,
integral calculus,
integration,
ISC,
kerala higher secondary,
ncert,
SCERT,
students
integral 4
integral of (log x )² / x
note that log x stands for natural logarithm ln x in this question
since there is no quotient rule in integration and since this is not a standard form you have to try to use substitution method to get to a standard form
so you put log x =t then take the differential
so (1/x) dx = dt
after that arrange the integral so that you can rewrite the integral in terms of t in a single step
then you get a standard integral which can be integrated.
study integration formulae
free guide on integration or integral calculus for cbse isc kerala higher secondary class 12 ncert scert students
-----------------------------------------------------------
please leave your comments below
------------------------------------------------------------
index of math problems
disclaimer:
There is no guarantee about the data/information on this site. You use the data/information at your own risk. You use the advertisements displayed on this page at your own risk.We are not responsible for the content of external internet sites. Some of the links may not work
note that log x stands for natural logarithm ln x in this question
since there is no quotient rule in integration and since this is not a standard form you have to try to use substitution method to get to a standard form
so you put log x =t then take the differential
so (1/x) dx = dt
after that arrange the integral so that you can rewrite the integral in terms of t in a single step
then you get a standard integral which can be integrated.
study integration formulae
free guide on integration or integral calculus for cbse isc kerala higher secondary class 12 ncert scert students
-----------------------------------------------------------
please leave your comments below
------------------------------------------------------------
index of math problems
disclaimer:
There is no guarantee about the data/information on this site. You use the data/information at your own risk. You use the advertisements displayed on this page at your own risk.We are not responsible for the content of external internet sites. Some of the links may not work
Labels:
cbse,
class 12,
free guide,
integral calculus,
integration,
ISC,
kerala higher secondary,
ncert,
SCERT,
students
integral 3
integral of sec²x/cosec²x
since there is no quotient rule in integration, change everything in terms of sinx and cosx simplify to get tan²x
since there is no direct integral for tan²x change to sec²x-1 using trigonometry formulae and then integrate term by term.
study integration formulae
and
trigonometry identities formulae etc
free guide on integration or integral calculus for cbse isc kerala higher secondary class 12 ncert scert students
-----------------------------------------------------------
please leave your comments below
------------------------------------------------------------
index of math problems
disclaimer:
There is no guarantee about the data/information on this site. You use the data/information at your own risk. You use the advertisements displayed on this page at your own risk.We are not responsible for the content of external internet sites. Some of the links may not work
since there is no quotient rule in integration, change everything in terms of sinx and cosx simplify to get tan²x
since there is no direct integral for tan²x change to sec²x-1 using trigonometry formulae and then integrate term by term.
study integration formulae
and
trigonometry identities formulae etc
free guide on integration or integral calculus for cbse isc kerala higher secondary class 12 ncert scert students
-----------------------------------------------------------
please leave your comments below
------------------------------------------------------------
index of math problems
disclaimer:
There is no guarantee about the data/information on this site. You use the data/information at your own risk. You use the advertisements displayed on this page at your own risk.We are not responsible for the content of external internet sites. Some of the links may not work
Labels:
cbse,
class 12,
free guide,
integral calculus,
integration,
ISC,
kerala higher secondary,
ncert,
SCERT,
students
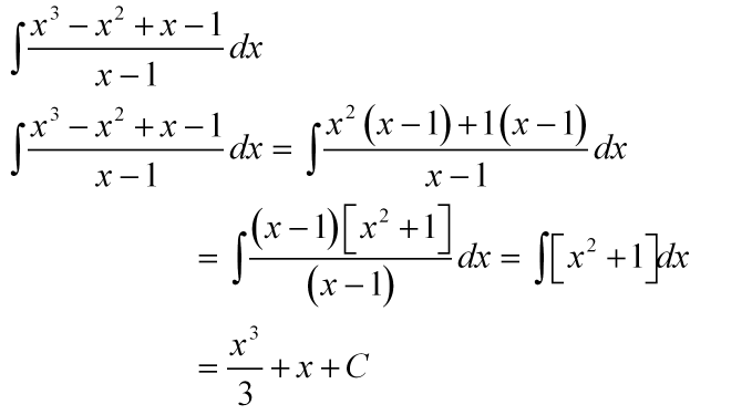
integral 2
integral of [ x^3 - x^2 + x -1] / (x-1)
factorise the numerator
cancel off the common factor
use the integral of x^n to integrate term by term
go through the integration formulae
free guide on integration or integral calculus for cbse isc kerala higher secondary class 12 ncert scert students
-----------------------------------------------------------
please leave your comments below
------------------------------------------------------------
index of math problems
disclaimer:
There is no guarantee about the data/information on this site. You use the data/information at your own risk. You use the advertisements displayed on this page at your own risk.We are not responsible for the content of external internet sites. Some of the links may not work
factorise the numerator
cancel off the common factor
use the integral of x^n to integrate term by term
go through the integration formulae
free guide on integration or integral calculus for cbse isc kerala higher secondary class 12 ncert scert students
-----------------------------------------------------------
please leave your comments below
------------------------------------------------------------
index of math problems
disclaimer:
There is no guarantee about the data/information on this site. You use the data/information at your own risk. You use the advertisements displayed on this page at your own risk.We are not responsible for the content of external internet sites. Some of the links may not work
Labels:
cbse,
class 12,
free guide,
integral calculus,
integration,
ISC,
kerala higher secondary,
ncert,
SCERT,
students
Friday, March 8, 2013
integral1
integral of (x^3 +3x +4) /sqrt(x)
since quotient rule is not used in integration you divide each term in the numerator with the denominator and
reduce every thing to x^n form and then integrate term by term
go through the integration formulae


free guide on integration or integral calculus for cbse isc kerala higher secondary class 12 ncert scert students
-----------------------------------------------------------
please leave your comments below
------------------------------------------------------------
index of math problems
disclaimer:
There is no guarantee about the data/information on this site. You use the data/information at your own risk. You use the advertisements displayed on this page at your own risk.We are not responsible for the content of external internet sites. Some of the links may not work
Labels:
cbse,
class 12,
free guide,
integral calculus,
integration,
ISC,
kerala higher secondary,
ncert,
SCERT,
students
Thursday, March 7, 2013
solving a equation involving exponentials
solve sinh (x)=0.5
(eË£ - e⁻Ë£)/2 =0.5 hyperbolic functions
so that eË£ - e⁻Ë£ =1
now solve eË£ - e⁻Ë£ = 1
multiply with eˣ
make it into a quadratic in eˣ
solve using quadratic fomula to find the value of eˣ
take natural logarithm to find x
-----------------------------------------------------------
please leave your comments below
------------------------------------------------------------
index of math problems
disclaimer:
There is no guarantee about the data/information on this site. You use the data/information at your own risk. You use the advertisements displayed on this page at your own risk.We are not responsible for the content of external internet sites. Some of the links may not work
(eË£ - e⁻Ë£)/2 =0.5 hyperbolic functions
so that eË£ - e⁻Ë£ =1
now solve eË£ - e⁻Ë£ = 1
multiply with eˣ
make it into a quadratic in eˣ
solve using quadratic fomula to find the value of eˣ
take natural logarithm to find x
-----------------------------------------------------------
please leave your comments below
------------------------------------------------------------
index of math problems
disclaimer:
There is no guarantee about the data/information on this site. You use the data/information at your own risk. You use the advertisements displayed on this page at your own risk.We are not responsible for the content of external internet sites. Some of the links may not work
Wednesday, March 6, 2013
proving a trigonometric identity
change everything in terms of sinx and cosx
simplify, then use trigonometric identities
trigonometry identities formulae etc
-----------------------------------------------------------
please leave your comments below
------------------------------------------------------------
index of math problems
disclaimer:
There is no guarantee about the data/information on this site. You use the data/information at your own risk. You use the advertisements displayed on this page at your own risk.We are not responsible for the content of external internet sites. Some of the links may not work
integral using trigonometric substitution
integral of (x^3)/ [sqrt[(x^2)+4] ]
use the substitution x = 2tanθ
dx = 2 ((secθ)^2) dθ
simplify and then use another substituion
secθ = t
secθ tanθ dθ = dt
simplify and integrate then resubstitute
change secθ in terms of tanθ
then again resubstitute
remembering that x =2 tanθ or tanθ = (x/2)
integration formulae
-----------------------------------------------------------
please leave your comments below
------------------------------------------------------------
index of math problems
disclaimer:
There is no guarantee about the data/information on this site. You use the data/information at your own risk. You use the advertisements displayed on this page at your own risk.We are not responsible for the content of external internet sites. Some of the links may not work
use the substitution x = 2tanθ
dx = 2 ((secθ)^2) dθ
simplify and then use another substituion
secθ = t
secθ tanθ dθ = dt
simplify and integrate then resubstitute
change secθ in terms of tanθ
then again resubstitute
remembering that x =2 tanθ or tanθ = (x/2)
integration formulae
-----------------------------------------------------------
please leave your comments below
------------------------------------------------------------
index of math problems
disclaimer:
There is no guarantee about the data/information on this site. You use the data/information at your own risk. You use the advertisements displayed on this page at your own risk.We are not responsible for the content of external internet sites. Some of the links may not work
Tuesday, March 5, 2013
solving a second order differential equation using reduction of order method if one of the solutions is given
solve y"-y = 0 if y=coshx is one of the solutions
using the formula for reduction of order
substitute p=0 since there is no term in y' and
use y1 = cosh x the given solution simplify and then integrate
integration formulae
-----------------------------------------------------------
please leave your comments below
------------------------------------------------------------
index of math problems
disclaimer:
There is no guarantee about the data/information on this site. You use the data/information at your own risk. You use the advertisements displayed on this page at your own risk.We are not responsible for the content of external internet sites. Some of the links may not work
using the formula for reduction of order
substitute p=0 since there is no term in y' and
use y1 = cosh x the given solution simplify and then integrate
integration formulae
-----------------------------------------------------------
please leave your comments below
------------------------------------------------------------
index of math problems
disclaimer:
There is no guarantee about the data/information on this site. You use the data/information at your own risk. You use the advertisements displayed on this page at your own risk.We are not responsible for the content of external internet sites. Some of the links may not work
Monday, March 4, 2013
problem on scalar triple product stp of vectors
show that [axb bxc cxa] = [a b c]^2
where a,b,c are vectors
use the formula for crossproduct of four vectors
then use the property that if a vector is repeated in an stp, then the value of the stp is zero
then use the property that interchange of vectors in an stp changes the sign of the stp.

some questions in mathematics for the tamilnadu higher secondary 12th exam, isc , puc pre degree etc.
-----------------------------------------------------------
please leave your comments below
------------------------------------------------------------
index of math problems
disclaimer:
There is no guarantee about the data/information on this site. You use the data/information at your own risk. You use the advertisements displayed on this page at your own risk.We are not responsible for the content of external internet sites. Some of the links may not work
where a,b,c are vectors
use the formula for crossproduct of four vectors
then use the property that if a vector is repeated in an stp, then the value of the stp is zero
then use the property that interchange of vectors in an stp changes the sign of the stp.

some questions in mathematics for the tamilnadu higher secondary 12th exam, isc , puc pre degree etc.
-----------------------------------------------------------
please leave your comments below
------------------------------------------------------------
index of math problems
disclaimer:
There is no guarantee about the data/information on this site. You use the data/information at your own risk. You use the advertisements displayed on this page at your own risk.We are not responsible for the content of external internet sites. Some of the links may not work
Friday, March 1, 2013
to find the equation of the tangents that can be drawn from a given point to a given hyperbola in standard form
find the equation of the tangents from (1,2) to the hyperbola
2(x^2) -3(y^2) =6
divide by the term on the rhs to reduce the given equation to standard form
extract the value of a and b
use the equation of the tangent to the hyperbola in standard form and use the values of a and b
use the condition that the tangent passes through the given point to form an equation in m and solve for m
and resubstitute
some questions in mathematics for the tamilnadu higher secondary 12th exam, isc , puc pre degree etc.
-----------------------------------------------------------
please leave your comments below
------------------------------------------------------------
index of math problems
disclaimer:
There is no guarantee about the data/information on this site. You use the data/information at your own risk. You use the advertisements displayed on this page at your own risk.We are not responsible for the content of external internet sites. Some of the links may not work
divide by the term on the rhs to reduce the given equation to standard form
extract the value of a and b
use the equation of the tangent to the hyperbola in standard form and use the values of a and b
use the condition that the tangent passes through the given point to form an equation in m and solve for m
and resubstitute
some questions in mathematics for the tamilnadu higher secondary 12th exam, isc , puc pre degree etc.
-----------------------------------------------------------
please leave your comments below
------------------------------------------------------------
index of math problems
disclaimer:
There is no guarantee about the data/information on this site. You use the data/information at your own risk. You use the advertisements displayed on this page at your own risk.We are not responsible for the content of external internet sites. Some of the links may not work
solving a fourth degree equation with real coefficients if you are given one of the imaginary roots
solving a fourth degree equation with real coefficients if you are given one of the imaginary roots
solve x^4 - 4 x^3 + 11 x^2 -14x +10 =0 given that 1+2i is one of the roots.
since the coefficients of the given equation are real, the complex roots will occur in conjugate pairs
so 1-2i is another root.
using this you can find a quadratic factor of the given fourth degree expression.
use long division or comparision of coeffecients to extract the other quadratic factor and solve it
some questions in mathematics for the tamilnadu higher secondary 12th exam, isc , puc pre degree etc.
-----------------------------------------------------------
please leave your comments below
------------------------------------------------------------
index of math problems
disclaimer:
There is no guarantee about the data/information on this site. You use the data/information at your own risk. You use the advertisements displayed on this page at your own risk.We are not responsible for the content of external internet sites. Some of the links may not work
solve x^4 - 4 x^3 + 11 x^2 -14x +10 =0 given that 1+2i is one of the roots.
since the coefficients of the given equation are real, the complex roots will occur in conjugate pairs
so 1-2i is another root.
using this you can find a quadratic factor of the given fourth degree expression.
use long division or comparision of coeffecients to extract the other quadratic factor and solve it
some questions in mathematics for the tamilnadu higher secondary 12th exam, isc , puc pre degree etc.
-----------------------------------------------------------
please leave your comments below
------------------------------------------------------------
index of math problems
disclaimer:
There is no guarantee about the data/information on this site. You use the data/information at your own risk. You use the advertisements displayed on this page at your own risk.We are not responsible for the content of external internet sites. Some of the links may not work
checking consistency of equations using determinants
Solve using determinants (Cramers rule)
2x + 3y = 8
4x + 6y = 16
n = 2 unknowns
r =1
n-r = 2-1 = 1
therefore one unknown can be chosen arbitrarily
put y = k (arbitrary ) in the first equation 2x +3y =8
2x + 3k = 8
solving x = (8 - 3k) / 2
so solution is
x = (8 - 3k) / 2
y = k
where k is any number.
some questions in mathematics for the tamilnadu higher secondary 12th exam, isc , puc pre degree etc.
-----------------------------------------------------------
please leave your comments below
------------------------------------------------------------
index of math problems
disclaimer:
There is no guarantee about the data/information on this site. You use the data/information at your own risk. You use the advertisements displayed on this page at your own risk.We are not responsible for the content of external internet sites. Some of the links may not work
2x + 3y = 8
4x + 6y = 16
n = 2 unknowns
r =1
n-r = 2-1 = 1
therefore one unknown can be chosen arbitrarily
put y = k (arbitrary ) in the first equation 2x +3y =8
2x + 3k = 8
solving x = (8 - 3k) / 2
so solution is
x = (8 - 3k) / 2
y = k
where k is any number.
some questions in mathematics for the tamilnadu higher secondary 12th exam, isc , puc pre degree etc.
-----------------------------------------------------------
please leave your comments below
------------------------------------------------------------
index of math problems
disclaimer:
There is no guarantee about the data/information on this site. You use the data/information at your own risk. You use the advertisements displayed on this page at your own risk.We are not responsible for the content of external internet sites. Some of the links may not work
Subscribe to:
Comments (Atom)







